Skeletal Variations of The Femur
And the Concepts of Tension & Compression

By Bernie Clark, November 13th, 2013

In our first article in this series, we looked at the myth that every body can do every pose, if we just work long enough, hard enough, with t he right teachers, the right Lululemon outfit, and the right herbal supplements. We saw that this myth ignores the reality of skeletal variations and the truth is – every body can not do every pose; trying to go beyond your natural limits can lead to, at best, frustration and at worst, significant injuries. We investigated the alignment cues focused on the feet and saw that insisting that everyone must stand with their feet together ignores the wide range of tibial torsion that exists in the human population. In this article, we will begin to examine the vast differences that exist in our femurs, what this means for our yoga practice, and we will also introduce the important concepts of tension and compression. We will continue to sound the warning that not everyone can do the splits like this rather blas gymnast. Why she can, and why you probably can’t, boils down to these two grand concepts: skeletal variations, and tension &compression.

Let’s start with skeletal variations of the femur. Here are two femurs (courtesy of Paul Grilley): Do you see any differences between them? Hopefully! There are several significant differences here, but we want to examine today the angle between the shaft of the femur and the neck of the femur. From a yogic perspective the obvious question is – what do these differences imply for us in our yoga poses? But before we go there, let’s see how common this variation is. If this is a very rare condition, who cares? But if this variation is likely to show up in almost any sized yoga class, then perhaps we have to take care in instructing our students, or indeed in attempting certain poses ourselves. As we will find out, this range of variation is not rare at all. In fact, the actual range of difference is greater that what these two specimens show.

The Femoral Neck-Shaft Angle (called the FNSA) for the bone on the left is 110, while the one on the right is 130. As babies, the FNSA is around 150.[1] As we mature, as we begin to stand, and then walk, stress is placed upon the hip socket and the neck of the femur, which over the years lessens the FNSA. The more active we are as children, the greater the remodeling of this bone.[2] By the time we are beginning puberty the angle of the neck of the femur to the shaft of the femur reaches a value that will remain virtually unchanged throughout our adult life. But what is that final angle? That depends upon a number of factors.

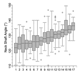
Studies have shown that different human populations, both modern and historic, have had different FNSAs depending upon their predominant activities. While modern, North Americans living in an urban setting have a FNSA of around ~134,[3] farmers, hunter-gatherers, and people who were very active as youngsters can average closer to 120.[4] The range, though, is what is most interesting. Note the variations shown in this box, taken from a 1998 study.[5] The ranges of FNSA is from 110 to 150 – that is quite significant! (The bone shown in the right of the first picture is closer to the average, not the extreme.) The shaded areas range from 118 to 140, and this too is significant because the shaded areas show a one-quartile range of the population, which means that 50% of the people studied are within that shaded range, and of course 50% are outside this range. What this means is – this wide range of variation is very likely to show up in your yoga students. [The numbers along the bottom axis represents different population types from #1 = South Africans to #18 = modern Chinese. Modern North-East Americans of European descent are shown in #15, and they range from 118 to 150, while 50% of this population are between 130 and 140.]

Curiously, the studies have almost all shown that there is no gender variation for the angle of the femur neck to its shaft, but there is a slight asymmetry, with the more dominant leg having about 5% less angle than the non-dominant leg.[6] (This means, for right-leg dominant people, you probably can abduct your left leg a little more than your right leg. For yoga teachers, your left side then would be your “good” side for demonstrating abduction.)

Now we know that the range of FNSA variations shown in this picture can be expected to be present in most yoga classes, in fact the variation will likely be even more dramatic than what is shown in the two example femurs. What does this mean for our practice? To understand the answer to this question, we need to ask another important question: “What stops me from going further?” When you reach an edge in a yoga pose, let’s say the legs wide-apart splits, why can’t you go further? In the splits, we abduct the legs, moving the thighs away from each other. We do this in the seated splits (sometimes called Upavistakonasana or Straddle) as shown below, but we also do this in standing, wide legged forward folds (called Prasarita Padottanasana), or even in standing poses like Triangle, Goddess or Warrior 2. Try the Straddle for yourself – sit on the floor and spread your legs as far as you can: now ask yourself – “What’s stopping me?” Why can’t you go any further?

The answer will either be tension or compression! Tension we will define as the resistance of tissues to elongating any further. If your muscles are short, if your fascia is tight, if your tendons or ligaments refuse to lengthen any further, you have reached an edge caused by tension. You will know that it is tension because you will feel this resistance in the inside of your legs, in the inner groins or adductor muscles, or even deep in the hips socket where the pubofemoral ligament or inferior joint capsule are being stretched to their limit:[7] we will call this the “direction away from movement.” “Away from” here means the opposite side from the direction you were moving your legs: you were moving your legs more towards the outside of your body, and you felt resistance on the inside of your body. This is how you know that your edge is caused by tension. But some people, who feel a little bit of tension in their inner legs, feel more stuck than stretched. These students feel a stress deep within the buttocks. This we will call compression and it arises when the body starts to come in contact with the body. Compression can be caused when two bones hit each other, or when the bones pinch flesh between them, or when flesh hits flesh. In the graphic to the right, we see the femur hitting the ilium, however, in real life there would cartilage, ligaments and muscles pinched in-between the two bones, so they would not get even this close together before compression was felt. Whatever the cause, compression is noticeable when you feel sensations stopping your movement in the same direction of the movement you were making. “Same direction” here means, you were trying to move your legs apart and the stuck feeling came in the outside of the legs, more specifically where the femur squishes some tissues between it and the pelvis, as depicted in the graphic.

The importance of knowing the difference between being stopped due to tension and due to compression allows us to know when to keep trying for a greater range of motion, and when to just sigh and accept that we have reached our anatomical limit of movement for that pose, in that direction. You may still be able to go around this local limit caused by compression: for example, if you are doing the splits while sitting up, if you then flex your pelvis more and fold forward, as the yogini shown above has done, you may find that you can go around your first point of compression, reaching a new sensation of tension, which you can work through over time. But this movement too will ultimately become stopped when final compression is reached; that is, once you have worked through whatever tension was originally stopping you. Injuries can happen when yoga students, ignorant of the reality of compression or choosing to ignore the signals that the body can’t go any further (called “pain”), keep trying to go further. This is why so many yoga students hurt themselves, not when they are beginners, but after three or four years of serious practice: they have worked through their original tension restrictions, have now reached compression, but if they ignore the signals of pain from the body that mean they can’t go further, and keep pushing harder and harder, they will cause damage.

Let’s come back to what is stopping you from going further in the splits? If you feel stress in the inner groins and no stress in the outside of the hip sockets, most likely your restriction is due to tension and, over time you can open further. However, if you feel just a little tension in the inner legs (one can never get rid of all tension because compression limits our ultimate openness), and feel the stress mostly on the outside of the hips, you have reached compression and you are not going to go any further in that direction. Too often, students seeing a teacher or another student, looking very similar to the yogini above, don’t know that they can’t go further and keep trying. Why are they stopped while she isn’t? The bones!

And this is okay! Compression is not bad per se: painful compression is bad, but painful anything is bad. Pain = bad! (Unless you are in the hands of a trained physiotherapist who is licensed to hurt you. She creates pain because she is trying to break through scar tissues and other unhealthy adhesions.) Our bones, our cartilage, our joints all need compression to remain healthy; so just because we are compressing these tissues is not a bad thing.[8] It is essential to compress our joints, but we must be cautious that we are not overdoing it and causing degeneration there. How to know? Pain! If there is no pain, compression can be healthy and essential.

There are a large number of skeletal factors that can influence the range of motion of our joints: the shape of the bones, the depth of the joint sockets, the relative orientations of the bones, both to themselves and to the other bone they articulate with, and many others factors. We will assume all other aspects of bone anatomy to be rather neutral and uninteresting (which they definitely are not!) and we’ll only look at one aspect of the femur: the neck-shaft angle, and its impact on abduction of the femur to the pelvis. The specific question we will now address is – given the two example femurs shown at the beginning, who can ultimately abduct further, and why?

Abduction with an FNSA of 110 Abduction, as we have seen, is the movement of the legs apart. A more precise way of looking at this is watching, when we abduct the femur in the hip socket, how the greater trochanter of the femur (which is the big, bony prominence at the top right of the femurs) moves upwards towards the pelvis (called the ilium, to be more precise.) (The greater trochanter moves down and away when we adduct the legs.) We are first looking at the femur that has a FNSA of 110. Notice that it has a relatively limited range of abduction available before the greater trochanter hits the ilium. Remember: we are ignoring several other factors here in order to illustrate the point, such as – we are ignoring that there is a lot of flesh that would get pinched between the trochanter and the side of the pelvis in real life. We are also ignoring here another possible source of compression and that is one that arises when the neck of the femur impinges upon the rim of the hip socket. This can arise if the hip socket is deeper than the one illustrated here, and for many people the ultimate determination of range of motion for their hips is this impingement.

Abduction with an FNSA of 130 Next we see the example of someone who has a FNSA of 130, which is close to the “average” amount of angle in the North American population. Notice the difference? The range of motion allowed in the second case is twice as much. Many text claim that this is the average, maximum amount of abduction available to us, and it is – if your FNSA is around 130,[9] but imagine how much more abduction would be available for someone who has a FNSA of 150!

We can easily imagine that the people owning these different shaped femurs were originally good friends. They both decided to start taking yoga classes; they were both stiff at the beginning, due to tight, short adductor muscles, which prevented abduction. But over the years the owner of the second femur kept increasing his range of motion until he was able to do deeper splits, while the yogi who owned the first femur quit long ago, in frustration. He had reached his limits early, but his friend kept on opening, going deeper. Eventually everyone reaches a limit dictated by their unique anatomical structure and the reality of compression. But if you don’t realize this, then like the student with the low FNSA angle, you may become frustrated, quit yoga, or with great determination keep at it and cause a serious injury to your hip socket. Yoga often becomes a self-selecting practice where those who can go further, stick around and do go further; while those who can’t, quit the practice, due to a misunderstanding of the intention of yoga, which is not to obtain any particular pose, but to gain wholeness.

Abduction of the hips is required in many yoga poses, and in many of these the fact that we are abducting the leg in the hip socket is not so obvious: think again of Goddess or Warrior 2. In Triangle pose, we move the pelvis towards the greater trochanter, which is again, abduction! The femurs are fixed and the pelvis moves, but this is still abduction. For students who have a smaller FNSA, they will reach compression quickly and any further movement to the side in Triangle comes from lateral flexion of the spine. Students, like our yogini here, who have a large range of motion for abduction, due to a larger FNSA, don’t need to laterally flex the spine to get their hand to the floor. This is because of their unique anatomical shape. She is not you, so you do not need to look like her! At times like these, when you see a student or teacher look amazing in a yoga posture, ask yourself what your intentions are. Remind yourself that we don’t use the body to get into a pose; we use the pose to get into the body. It is not about aesthetics, it is about function. It is about health and wholeness. Remember your intentions. Remember the truth of skeletal variations and the difference between tension & compression. Once you remember all this, move with awareness towards your edge and be happy wherever it happens to be.

[In our next article, we will look at the shape of the hip socket and see how this also affects our ultimate range of motion. In a future article we will return again to the femur for another investigation of this biggest bone in our body.]

Return to Top of Page

Footnotes:

  1. Patterns of sexual, bilateral and interpopulational variation in human femoral neck-shaft angles: John Y. Anderson and Erik Trikaus
  2. — Ibid
  3. Femoral neck-shaft angle in humans: variation relating to climate, clothing, lifestyle, sex, age and side: Gilligan I, Chandraphak S, Mahakkanukrauh P.
  4. Patterns of sexual, bilateral and interpopulational variation in human femoral neck-shaft angles: John Y. Anderson and Erik Trikaus
  5. — Ibid
  6. — Ibid
  7. — See Kinesiology of the Musculoskeletal System by Donald Neuman, page 400
  8. — There are many examples in orthopedic literature citing the need for stress on the bones and joints to maintain health. See, for just one example, “Coming Soon to a Knee Near You: Cartilage Like Your Very Own” in Science, Dec 5, 2008, Vol. 322 no. 5907, pages 1460 – 1461
  9. — Estimates vary. In Donald Neumann’s Kinesiology of the Musculoskeletal System (page 400) the average abduction range is 40, however in Thieme’s Atlas of Anatomy (page 386) they state 50. Now that we have seen the wide ranges of the femoral neck-shaft angle, we can understand why these abduction ranges also vary.

Return to Newsletter 18